Solving the Logarithmic Equation ln(ln(x)) = 0 ...
Natürlicher Logarithmus • einfach erklärt · [mi...
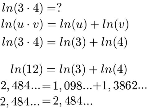
ln-Funktion
Natural logarithm rules - ln(x) rules
Natural Logarithms
ln-Funktion, Gesetze und Regeln
ln Funktion • Erklärung + Beispiele · [mit Video]
Natural Logarithm Rules
ln
ln چیست • ️ تکست ناب
Solve the Logarithmic Equation ln(ln(e^(-x)) = ...
Ln A Ln B – Ilmu
Natürliche Logarithmusfunktion - e-Funktionen e...
Rules Of Ln Exponents Cheat Sheet
ln-Funktion - lernen mit Serlo!
Натуральный логарифм, функция ln x - 1cov
Nullstellen von Logarithmusfunktionen – Nullste...
How to Differentiate Ln
How to use the Excel LN function | Exceljet
ln-Funktion inkl. Lernvideos und Beispielen - S...
Натуральный логарифм - презентация онлайн
ln Ableitung Aufgaben / Übungen