Номер 22 - ГДЗ по алгебре 9 класс Мордкович зад...
Алгебра. 9 класс. Самостоятельные и контрольные...
Алгебра. 9 класс. Учебник. Часть 1. 2022 Петерс...
ОК ГДЗ Алгебра 9 класс | Гарантия хорошей оценки
Алгебра. 9 класс. Учебник | Мордкович Александр...
ГДЗ по алгебре 9 класс Мордкович, Семенов Решебник
Номер 4.2 - ГДЗ по алгебре 9 класс Мордкович за...
«Алгебра. 9 класс», А. Г. Мордкович – скачать p...
Гдз алгебра 9 мордкович 2022
Мордкович учебник по алгебре 9 класс - читать о...
ГДЗ задачник 2021 / §18 18.4 алгебра 9 класс Уч...
Скачати підручник 9 клас Алгебра Істер 2022 рік...
Алгебра 9 мордкович 2022
ГДЗ задачник 2021 / §6 6.12 алгебра 9 класс Уче...
Алгебра - 9 класс, Мордкович А.Г. Купить электр...
Номер №18.21 - ГДЗ по алгебре 9 класс Мордкович...
Решебник (гдз) по учебнику алгебра 9 класс Морд...
Решебник по алгебре Мордкович 9 класс
Учебник Алгебра 9 класс Мерзляк, Полонский, Якир
Номер 5.11 - ГДЗ по алгебре 9 класс Мордкович з...
ГДЗ задачник 2021 / §7 7.48 алгебра 9 класс Уче...
Алгебра 9 класс мордкович 2022 - 89 фото
Решебник и ГДЗ по алгебре 9 класс Мордкович - з...
ГДЗ задачник 2021 / §16 16.21 алгебра 9 класс У...
Алгебра. 7 класс. Учебник. 2022. Мордкович А.Г....
гдз по алгебре 9 класс мордкович, 2009 год
Відповіді (ГДЗ) до підручника Алгебра 9 клас Ме...
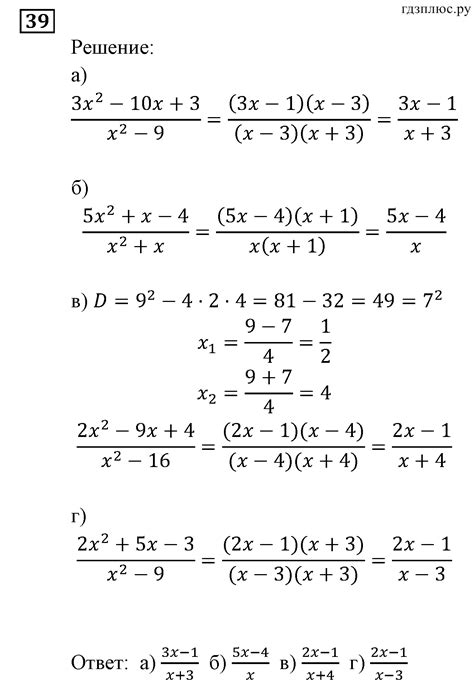
Номер 39 - ГДЗ по алгебре 9 класс Мордкович зад...