ln-Funktion, Gesetze und Regeln
Ableitung ln (natürlicher Logarithmus)
8-6 Natural Logarithms. - ppt download
Derivative of ln x (Natural Log) | GeeksforGeeks
Natural Logarithm Rules
ln
Natural logarithm rules - ln(x) rules
ln چیست • ️ تکست ناب
ln(0) - Definition, Properties, and Applications
How to Get Rid of ln in an Equation: Steps & Ex...
Todo lo que necesitas saber sobre la derivada d...
Trigonometry Function Graph
Ln A Ln B – Ilmu
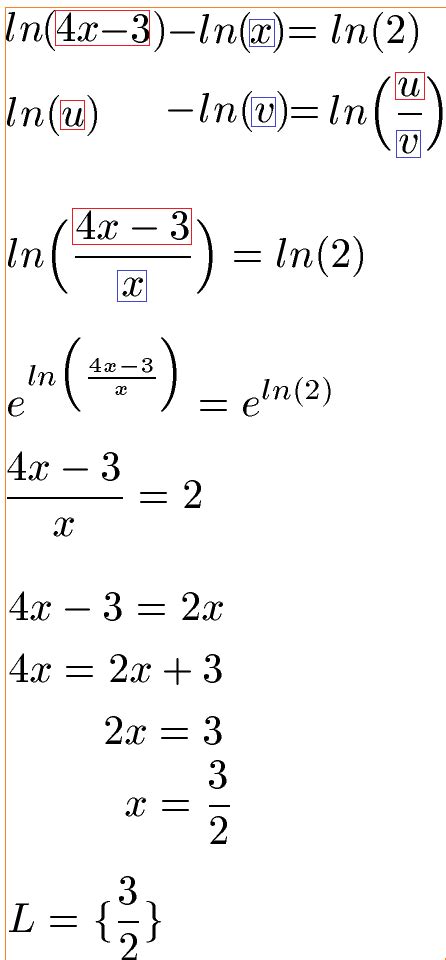
Solving a Nice Ln Equation in Two Ways - YouTube
Log and ln differences |With Graphs and example...
LN function calculator and graph
Natural logarithm function | Math examples
Nullstellen von Logarithmusfunktionen - lernen ...
Natürlicher Logarithmus • einfach erklärt · [mi...
ln-Funktion
ln Funktion • Erklärung + Beispiele · [mit Video]
Rules Of Ln Exponents Cheat Sheet
Natural Logarithmic Equation
Solving the Logarithmic Equation ln(ln(x)) = 0 ...
ln — natural logarithmic function — Librow — Di...
Solve the Logarithmic Equation ln(ln(e^(-x)) = ...
Find The Derivative Of ln(ln(1-x)). The Derivat...
ln-Funktion - lernen mit Serlo!
Natürlicher Logarithmus / Logarithmus naturalis